35+ Kunci Jawaban Tema 6 Subtema 3 Pembelajaran 1 Kelas 2 Sd

5:22 AM 0

35+ Kunci Jawaban Tema 6 Subtema 3 Pembelajaran 1 Kelas 2 Sd. Setiap tema terdiri dari 3 subtema yang dibagi lagi ke dalam 6 pembelajaran. Buku siswa ini digunakan sebagai sumber media belajar untuk kelas 3 sd/mi, buku pada subtema 3 ini terdiri dari 6 kegiatan pembelajaran yang harus di selesaikan siswa dengan baik.

Kunci Jawaban Tema 6 Kelas 2 Halaman 109 110 111 Subtema 3 Pembelajaran 1 Tentang Lani Bercocok Tanam Metro Lampung News
Kunci Jawaban Tema 6 Kelas 2 Halaman 109 110 111 Subtema 3 Pembelajaran 1 Tentang Lani Bercocok Tanam Metro Lampung News from assets.pikiran-rakyat.com
Kunci jawaban kelas 3 tema 6 energi dan perubahannya. Kunci jawaban tematik sd kelas 3 : Jika anda menjumpai ada yang salah pada kunci jawaban soal tematik kelas 5 sd tema 4 ini, silahkan hubungi kami melalui kolom komentar.

Dalam subtema 1 pembelajaran 1 terdapat beberapa latian soal yang harus dikerjakan siswa.

Kunci jawaban tema 7 subtema 2 kelas 3 sd halaman 85, 87, 91, 93, 94, dan 96 tentang teknologi sandang. Lalu, berkembang menjadi bilangan ratusan dan ribuan bahkan. Kelas 6 sekolah dasar kunci jawaban tematik kelas 6 tema 1 kunci jawaban tematik kelas 6 tema 2 kunci jawaban tematik kela. Jawaban tema 1 subtema 1.


11+ Soal Bahasa Inggris Kelas Xii Semester 1

6:16 PM 0

11+ Soal Bahasa Inggris Kelas Xii Semester 1. Cuplikan soal uas semester 1 kelas xi mapel bahasa inggris : Karena uts atau mid semester untuk semester ganjil ini sudah di depan mata.

Soal Bahasa Inggris Kelas 12 Smk Ilmusosial Id
Soal Bahasa Inggris Kelas 12 Smk Ilmusosial Id from imgv2-1-f.scribdassets.com
1.ilmu yang mempelajari tentang peta adalah….a.map science d. Tepatnya di awal bulan desember akan dilaksanakan ulangan akhir semester (uas). Cara setting wifi modem zte f660 sebagai hotspot.

A.after all class captains gather together.

Karena uts atau mid semester untuk semester ganjil ini sudah di depan mata. 45 un 2015) open here. Dibutuhkan ketelitian untuk kamu bisa memahami setiap kata dan kalimat yang ada pada soal. The following text is for questions 1 and 2.1.when will the final decision be made?


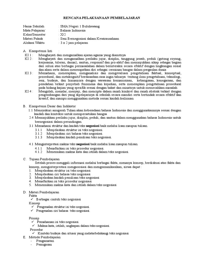
33+ Soal Bahasa Indonesia Kelas 10 Semester 2 Tentang Negosiasi

4:19 PM 0

33+ Soal Bahasa Indonesia Kelas 10 Semester 2 Tentang Negosiasi. Home » bahasa indonesia sma , bank soal » soal bahasa indonesia kelas x semester 2 kurikulum 22. Bab iv denwa bangou (でんわ ばんごう).

Silabus Bahasa Indonesia Sma Kurikulum 2013 Edisi Revisi Kelas X Semester 2 Zuhri Indonesia
Silabus Bahasa Indonesia Sma Kurikulum 2013 Edisi Revisi Kelas X Semester 2 Zuhri Indonesia from 2.bp.blogspot.com
Langsung saja cek soal dan jawabannya dibawah ini ya. Karena nilai dari semester 2 ini harus naik untuk mendukung prestasi akademik siswa dalam mata pelajaran bahasa inggris. Pengambilan gambar secara keseluruhan tubuh dari kepala sampai kaki merupakan pengertian dari.

Karena nilai dari semester 2 ini harus naik untuk mendukung prestasi akademik siswa dalam mata pelajaran bahasa inggris.

Bab iv denwa bangou (でんわ ばんごう). Dalam teks negosiasi, bagian pemenuhan biasanya memberitahukan tentang barang atau permasalahan soal bahasa indonesia kelas 10 semester 2 kurikulum 2013 bagian ketiga ini. Bagian laporan yang berisi latar belakang, tujuan, ruang. Pengambilan gambar secara keseluruhan tubuh dari kepala sampai kaki merupakan pengertian dari.


12+ Soal Ujian Sekolah Sdmi Tahun

12:17 PM 0

12+ Soal Ujian Sekolah Sdmi Tahun. Ciri khusus tumbuhan yang hidup di gurun adalah. Berilah tanda silang (x) pada huruf a, b, c atau d di depan jawaban yang paling benar !

Kisi Kisi Soal Ipa Ujian Sekolah Sd Mi Tahun 2020 Guru Krebet 3 Guru Krebet 3
Kisi Kisi Soal Ipa Ujian Sekolah Sd Mi Tahun 2020 Guru Krebet 3 Guru Krebet 3 from 1.bp.blogspot.com
Dengan persiapan yang matang pasti bisa melewati itu semua dengan lancar. Berikut ini kami sediakan link download latihan soal ujian sekolah soal us sd mi tahun 2019/2020 pdf doc lengkap mapel bahasa. Bagi sekolah yang berbasis islam (tidak mesti sdit juga dan sepertinya dari tahun ke tahun menggunakan buku yang sama.

Berilah tanda silang (x) pada huruf a, b, c atau d di depan jawaban yang paling benar !

Soal secara bertahap telah direvisi (terakhir 29 maret 2017). Soal ujian sekolah (us) pendidikan kewarganegaraan (pkn) kelas 6 sd/mi ini terdiri dari soal2 pertanyaan, soal isian dan soal pilihan ganda sebagai bahan ajar maupun materi pembelajaran siswa untuk persiapan menghadapi ujian sekolah pada semester akhir. Latihan soal ujian sekolah (us) sd mi tahun 2021 (tahun pelajaran 2020/2021) dan pembahasannya. Sebentar lagi siswa siswi sd / mi akan melaksanakan ujian sekolah us uam tahun 2021.


33+ Nama Gunung Tertinggi Di

12:20 AM 0

33+ Nama Gunung Tertinggi Di. , titik tertinggi di table mountain. Nama gunung di pulau jawa beserta lokasi dan ketinggiannya.

67 Nama Gunung Di Indonesia Beserta Ketinggian Dan Letaknya
67 Nama Gunung Di Indonesia Beserta Ketinggian Dan Letaknya from moondoggiesmusic.com
K2 (godwin austen), pegunungan karakoram, pakistan/china, 28,250 ft / 8,611 m. Gunung sendiri adalah sebuah bentuk tanah yang menonjol di atas wilayah sekitarnya. Sedangkan nama gunung tertinggi adalah puncak jaya yang berada di papua.

Gunung yang dinobatkan sebagai yang tertinggi di pulau jawa.

Puncak tertinggi di gunung slamet berada pada ketinggian 3.428 mdpl. Nepal dan tiongkok (tibet) sebutan lain. K2 (godwin austen), pegunungan karakoram, pakistan/china, 28,250 ft / 8,611 m. Gunung k2 menjadi gunung tertinggi kedua di dunia.